在當今電子設備日益小型化、高效化的趨勢下,電源管理芯片的設計也面臨著更高的要求。LP3717BSL 作為一款極簡化的自供電原邊反饋控制芯片,以其高度集成、外圍設計簡單、多種保護功能等特點,為適配器、充電器以及其他輔助電源的設計提供了一種高效、可靠的解決方案。

LP3717BSL 是一款專為隔離型適配器和充電器設計的自供電 PSR(原邊反饋)控制芯片。該芯片通過外置電阻可調原邊峰值電流,并利用變壓器原副邊匝比來設置輸出恒流點。通過設定反饋引腳(FB)上的偏電阻,可以靈活地設置輸出恒壓點。為了進一步簡化系統成本,LP3717BSL 內置了啟動電路,無需外部啟動電阻,并采用自供電技術取消了輔助繞組 VCC 供電二極管。此外,該芯片還內置了輸出線纜補償功能,能夠有效補償輸出電流在輸出線上的損耗壓降,從而提高輸出電壓的穩定性。

圖 1 展示了 LP3717BSL 的典型應用電路。在該電路中,芯片通過變壓器與輸入電源相連,通過反饋引腳(FB)與輸出端相連,形成一個閉環控制系統。通過合理選擇外接電阻的值,可以實現對輸出電壓和電流的精確控制。該電路簡單、高效,能夠滿足大多數應用場景的需求。
LP3717BSL 的電氣參數如下表所示:
參數 | 符號 | 最小值 | 典型值 | 最大值 | 單位 |
|---|---|---|---|---|---|
| VCC 啟動電壓 | VCC_ST | 4.5 | - | - | V |
| VCC 鉗位電壓 | VCC_CLAMP | - | 5.1 | - | V |
| VCC 欠壓保護閾值 | VCC_UVLO | 3.1 | - | - | V |
| VCC 啟動電流 | IST | - | 1 | - | uA |
| VCC 工作電流 | ICC1 | - | 300 | - | uA |
| VCC 待機電流 | ICC2 | - | 60 | - | uA |
| 最大峰值電流閾值(SEL 腳懸空) | IPKMAX_SELNC | - | 880 | - | mA |
| 最小峰值電流閾值 | IPKMIN | - | 0.4*IPKMAX | - | mA |
| 前沿消隱時間 | TLEB | - | 450 | - | ns |
| 副邊電流退磁比例 | RTDEM | - | 50 | - | % |
| FB 反饋基準電壓 | VFB | 0.95 | 1.00 | 1.05 | V |
| 系統推薦最大頻率 | FSWMAX | - | 60 | - | KHz |
| 芯片最小工作頻率 | FSWMIN | 200 | - | - | Hz |
| 抖頻周期 | Tjitter | - | 180 | - | us |
| 線纜補償電流 | ICOMP_LINE | - | 12 | - | uA |
| 輸出短路保護閾值 | VFB_HICCUP | - | 0.5 | - | V |
| FB 過壓保護電壓 | VFB_OVP | 1.35 | 1.40 | 1.45 | V |
| 啟機輸入欠壓保護閾值 | VFB_VINUVP(啟機) | -0.65 | - | - | V |
| 正常工作輸入欠壓保護閾值 | VFB_VINUVP(正常工作) | -0.40 | - | - | V |
| 過熱保護溫度 | TSD | - | 150 | - | ℃ |
| 過溫保護遲滯 | THYS | - | 30 | - | ℃ |
| C、B 電壓 | VCBO | - | 750 | - | V |
| 集電極應用電流 | ICESAT | - | 800 | - | mA |
這些參數確保了 LP3717BSL 在各種工作條件下的穩定性和可靠性,能夠滿足不同應用場景的需求。
下圖展示了 LP3717BSL 的內部結構框圖。芯片內部集成了多種功能模塊,包括啟動電路、峰值電流設置模塊、恒流控制模塊、恒壓控制模塊、保護功能模塊等。這些模塊協同工作,實現了對電源系統的精確控制和全面保護。

芯片啟動時,僅需 1uA 的啟動電流,通過內部啟動電路給 Vcc 電容充電,當 Vcc 電壓達到芯片開啟閾值時,芯片內部控制電路開始工作。系統啟動后,Vcc 由內部專有的供電電路進行供電。
SEL 腳外接電阻 RSEL 可以調節最大峰值電流 IPKMAX。當 SEL 腳懸空時,IPKMAX 為 IPKMAX_SELNC(880mA)。通過公式 IPKMAX=RSEL×1212×IPKMAX_SELNC 可以計算出不同 RSEL 值對應的 IPKMAX 值,建議 RSEL > 15K。
芯片逐周期檢測電感的峰值電流,當原邊電感中的實時電流大于芯片設定的最大峰值電流 IPKMAX 時,功率管關斷。輸出電流 IOUT 與變壓器的匝比、峰值電流、開關周期等因素有關。通過合理選擇變壓器的匝比和峰值電流,可以實現恒流輸出。
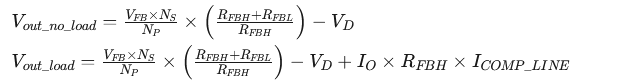
LP3717BSL 通過電阻采樣反激電壓,電阻分壓后的電壓與內部基準比較形成閉環,從而恒定輸出電壓 Vout。輕載輸出電壓和滿載輸出電壓的計算公式分別為:
其中,RFBH 是 FB 外接的上偏電阻,RFBL 是 FB 外接的下偏電阻,ICOMP_LINE 是滿載經過 FB 上偏電阻的輸出線補償電流,Nf 是輔助繞組匝數,VFB 是基準電壓(典型值 1.0V),VD 為輸出續流管壓降,IO 為帶載電流,IOCP 為輸出恒流電流。
LP3717BSL 集成了多種保護功能,包括:
在設計 LP3717BSL 的 PCB 時,需要遵循以下指南:
LP3717BSL 采用 SOP8L 封裝,封裝尺寸如下表所示:
| 符號 | 尺寸范圍(毫米) |
|---|---|
| A | 1.35 - 1.75 |
| A1 | 0.05 - 0.25 |
| A2 | 1.30 - 1.50 |
| b | 0.30 - 0.51 |
| c | 0.10 - 0.25 |
| D | 4.70 - 5.10 |
| E | 3.80 - 4.05 |
| E1 | 5.80 - 6.20 |
| e | 1.27BSC |
| L | 0.40 - 1.27 |
| θ | 0o - 8o |
這種封裝形式具有良好的散熱性能和較小的尺寸,適合用于緊湊型電源設計。